ettore_61
?????????????????????
sti quazzi!!! come siate avanti
![]()
E pensare che tutta sta roba me l'hanno fatta studiare all'universita' ...... a che c.azzo serve poi ......
sti quazzi!!! come siate avanti
![]()
Manca pero' l'operatore universale il "Il VINCULIAMO" che predilige il numero 90.......![]()

impossibile se gia' di fuorie meno male,che pensavi di peggiorare con gann,impossibile se gia' di fuori






E pensare che tutta sta roba me l'hanno fatta studiare all'universita' ...... a che c.azzo serve poi ......![]()
questo grafico è dedicato a chi ieri sera diceva entrata alla cazum![]()
Non avete preso in considerazione quest'altra possibilità:
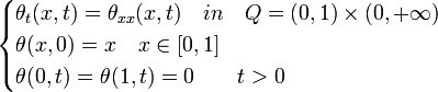
Supponiamo di avere una sbarra (per comodità) di lunghezza unitaria il cui raggio è trascurabile rispetto alla lunghezza, in modo da rendere il problema monodimensionale. Inoltre poniamo il termine di diffusione μ costante e unitario ed eliminiamo i termini riguardanti trasporto e reazioni interne, in modo da ridurre l'equazione nella forma
θt = θxx con θ cui verranno imposte opportune condizioni di regolarità. Impostiamo i valori al contorno in modo da tenere le due estremità della sbarra a temperatura costante. Fissando la distribuzione di temperatura iniziale abbiamo dunque il nostro problema ben definito:
Vogliamo fare uso del metodo di separazione delle variabili. Per fare questo proviamo a scrivere θ come prodotto di due funzioni, una dello spazio e una del tempo![]()
θ(x,t) = X(x)T(t)
che inserita nell'equazione dà
![]()
avendo indicato con il "primo" la derivata (ordinaria) delle due funzioni rispetto alla loro variabile di definizione. Ora osserviamo che i due termini dell'uguaglianza sono funzioni di due variabili diverse; pertanto, l'unico modo affinché l'uguaglianza sussista per ogni t e per ogni x è che entrambi i termini siano uguali ad una costante, diciamo λ. Possiamo dunque generare due equazioni differenziali ordinarie per le due funzioni separatamente
T'(t) = λT(t)
che integrata dà immediatamente
T(t) = ceλt
Per la funzione spaziale abbiamo invece il problema ai limiti
![]()
Si vede facilmente che, per evitare soluzioni banali, deve essere λ = − μ2 < 0. A questo punto integrando l'equazione abbiamo
X(x) = c1sin(μx) + c2cos(μx)
e le condizioni al bordo danno
c2 = 0,c1 arbitrario e μ = nπ
Mettendo insieme i pezzi possiamo ora dire che ogni funzione della forma
![]()
è formalmente soluzione dell'equazione di partenza. Tuttavia nessuna di esse soddisfa il dato iniziale. Sfuttiamo dunque la linearità dell'equazione e costruiamo una nuova soluzione sovrapponendo tutte le θn
![]()
La soluzione trovata col metodo di separazione delle variabili soddisfa il dato iniziale nel senso di L2. Infatti se sviluppiamo il dato iniziale in serie di Fourier e poi poniamo i cn della nostra soluzione uguali ai coefficienti dello sviluppo di Fourier del dato iniziale, otteniamo, grazie alla disuguaglianza di Bessel, chenel senso di L2 per t che tende a zero. Infine per dimostrare che quella trovata è l'unica soluzione si può procedere col metodo dell'energia: si moltiplica l'equazione per θ a destra e a sinistra e si integra per parti sul dominio spaziale, ottenendo![]()
Dunque la quantità θ2(x,t), che è identificabile con l'energia del sistema, è positiva e decrescente. Se ora esistessero u e v entrambe soluzioni dell'equazione, allora, per linearità, anche w = u − v sarebbe soluzione, con dati al bordo nulli e dato iniziale nullo. Ma allora per w abbiamo che l'energia iniziale è nulla e, poiché abbiam detto che essa deve essere positiva e decrescente, concludiamo che in ogni istante di tempo![]()
da cui u = v per ogni t e dunque la soluzione è unica.![]()





Osti, anche Bessel ......
Ma alla fine che c.azzo ne viene fuori?
Se non ho sbagliato i conti ........ il risultato e' ..... 1




Mi hai fatto ridere..........e lo faccio raramente. Ciao![]()
Pes de insci..e meno male,che pensavi di peggiorare con gann,impossibile se gia' di fuori

